OEM ЗАПЧАСТИ

  info@automotohub.ru   8 (916) 294-84-77
  О Компании   Оплата и Доставка   Помощь   Обратная связь

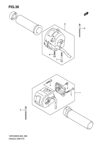
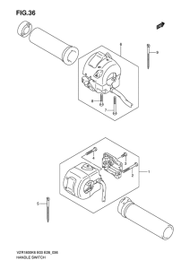
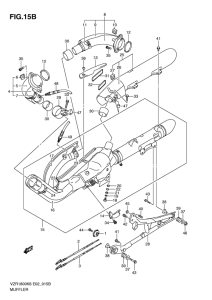
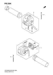
Запчасти для мотоциклов Suzuki VZR1800 Boulevard M109R

Год: 2008  •  Код модели: VZR1800ZK8(E3/E28) K8  •  Объем двигателя: 1800
Запчасти для мотоциклов Suzuki VZR1800 Boulevard M109R
Выбирайте узел вашей техники:


{modalWnd}