OEM ЗАПЧАСТИ

  info@automotohub.ru   8 (916) 294-84-77
  О Компании   Оплата и Доставка   Помощь   Обратная связь

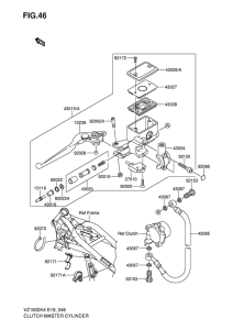
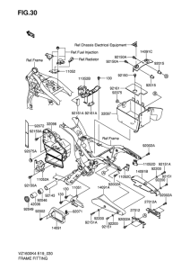
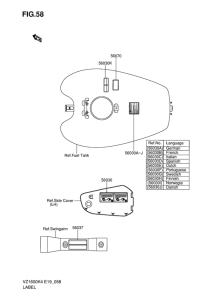
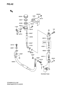
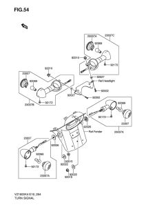
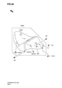
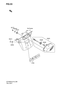
Запчасти для мотоциклов Suzuki VZ1600 Marauder

Год: 2004  •  Код модели: VZ1600K4(E19) K4  •  Объем двигателя: 1600
Запчасти для мотоциклов Suzuki VZ1600 Marauder
Выбирайте узел вашей техники:


{modalWnd}