OEM ЗАПЧАСТИ

  info@automotohub.ru   8 (916) 294-84-77
  О Компании   Оплата и Доставка   Помощь   Обратная связь

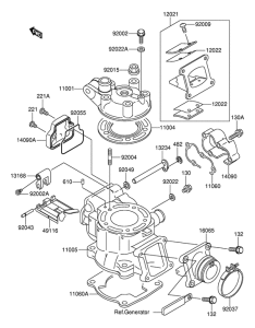
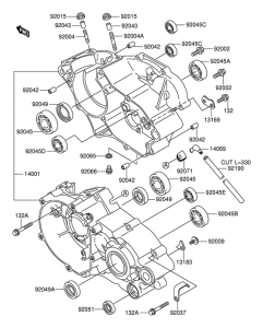
Запчасти для мотоциклов Suzuki RM100

Год: 2003  •  Код модели: RM100K3(E21) K3  •  Объем двигателя: 100
Запчасти для мотоциклов Suzuki RM100
{modalWnd}