OEM ЗАПЧАСТИ

  info@automotohub.ru   8 (916) 294-84-77
  О Компании   Оплата и Доставка   Помощь   Обратная связь

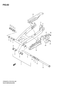
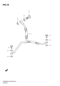
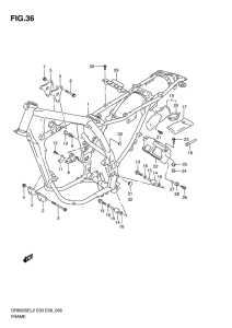
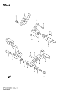
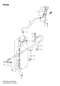
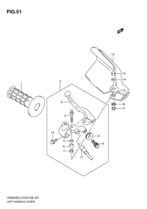
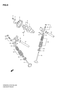
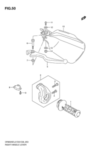
Запчасти для мотоциклов Suzuki DR650

Год: 2012  •  Код модели: DR650SEL2(E03) L2  •  Объем двигателя: 650
Запчасти для мотоциклов Suzuki DR650
Выбирайте узел вашей техники:


{modalWnd}