OEM ЗАПЧАСТИ

  info@automotohub.ru   8 (916) 294-84-77
  О Компании   Оплата и Доставка   Помощь   Обратная связь

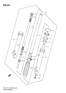
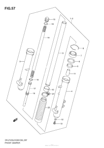
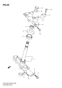
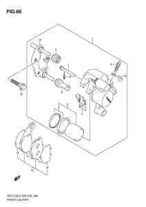
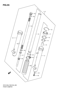
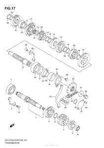
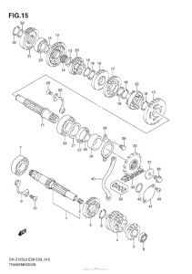
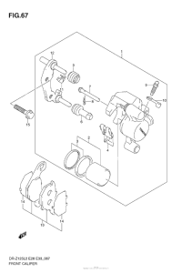
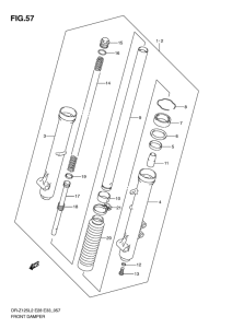
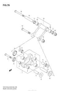
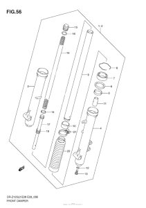
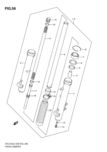
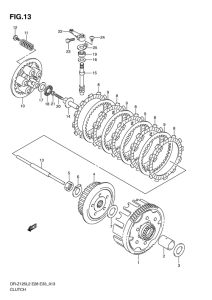
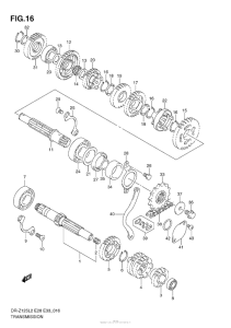
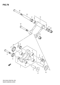
Запчасти для мотоциклов Suzuki DR-Z125L

Год: 2012  •  Код модели: DR-Z125LL2  •  Объем двигателя: 125
Запчасти для мотоциклов Suzuki  DR-Z125L
Выбирайте узел вашей техники:


{modalWnd}