OEM ЗАПЧАСТИ

  info@automotohub.ru   8 (916) 294-84-77
  О Компании   Оплата и Доставка   Помощь   Обратная связь

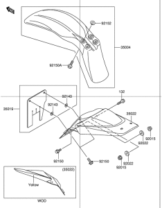
Запчасти для мотоциклов Suzuki DR-Z110

Год: 2003  •  Код модели: DR-Z110K3(E28) K3  •  Объем двигателя: 110
Запчасти для мотоциклов Suzuki DR-Z110
{modalWnd}