OEM ЗАПЧАСТИ

  info@automotohub.ru   8 (916) 294-84-77
  О Компании   Оплата и Доставка   Помощь   Обратная связь

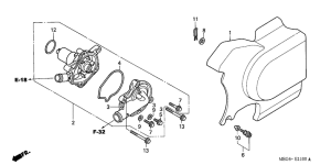
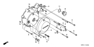
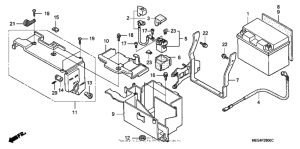
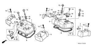
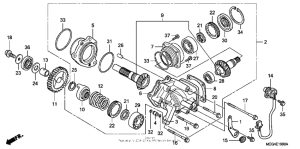
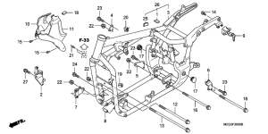
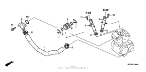
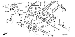
Запчасти для мотоциклов Honda VT750CA Shadow Aero

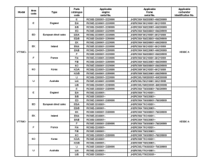
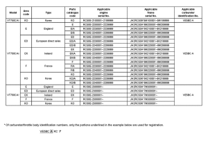
Год: 2007  •  Код модели: VT750CA AC/A  •  Объем двигателя: 750
Запчасти для мотоциклов Honda VT750CA Shadow Aero
Выбирайте узел вашей техники:


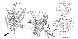
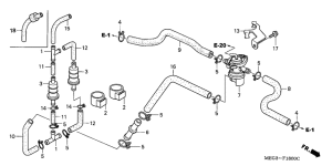
{modalWnd}