OEM ЗАПЧАСТИ

  info@automotohub.ru   8 (916) 294-84-77
  О Компании   Оплата и Доставка   Помощь   Обратная связь

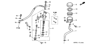
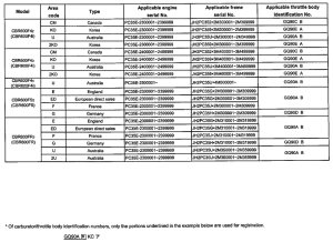
Запчасти для мотоциклов Honda CBR600F

Год: 2002  •  Код модели: CBR600F2  •  Объем двигателя: 600
Запчасти для мотоциклов Honda  CBR600F
Выбирайте узел вашей техники:


{modalWnd}